Bluttuning

Seegarten Klinik

SGK Orthomolekulares Bluttuning
Optimierung biologischer Prozesse

Gesundheit, Höchstleistung und Kreativität basieren auf einer komplexen biologischen Grundlage, die maßgeblich von essentiellen Nährstoffen beeinflusst wird.

Diese essentiellen Nährstoffe müssen täglich von außen zugeführt werden, da der Körper sie nicht selbst produzieren kann. Das Fehlen auch nur eines einzigen dieser Nährstoffe würde das Überleben unmöglich machen. In «normalen» Mengen über die tägliche Nahrung aufgenommen, ermöglichen sie ein «normales» Leben. Doch für Höchstleistung und Kreativität ist eine überdurchschnittliche Zufuhr von essentiellen Aminosäuren, essentiellen Fettsäuren, essentiellen Mineralien und essentiellen Vitaminen erforderlich.

Die SGK Bluttuningprofile bieten Ihnen die Möglichkeit, aus fünf verschiedenen Profilen Ihr individuelles Bluttuning auszuwählen. Diese Profile ermöglichen nicht nur einen Einblick in herkömmliche Blutparameter wie Blutzucker, Schwermetalle und Leber- sowie Schilddrüsenwerte, sondern gehen einen Schritt weiter. Sie messen auch Risiko- und Umweltfaktoren, die oft auf vermeidbare Belastungen hinweisen.

Neben den üblichen Blutparametern untersuchen die SGK Bluttuningprofile auch Schlüsselwerte, die direkt mit Ihrer Stimmung, Ihrem Antrieb, Ihrem Glücksgefühl und Ihrer Kreativität in Verbindung stehen. Diese Werte sind entscheidend für Ihre psychische Gesundheit und weisen auf Ihren allgemeinen Gesundheitszustand hin.

Die Indikationen für eine SGK Bluttuning-Untersuchung sind vielfältig und reichen von Leistungssteigerung und Übergewicht bis hin zu chronischer Müdigkeit, Infektanfälligkeit und Altersbeschwerden. Die besonderen Merkmale dieser Untersuchung umfassen Analysen zu versteckten Lebensmittelintoleranzen, dem Säure-Basen-Haushalt, mitochondrialer Aktivität, qualitativen Blutanalysen, Immunsystem und MicroClotting.

SGK Orthomolekulares Bluttuning ist somit nicht nur eine Analyse von Blutwerten, sondern eine umfassende Untersuchung, die auf die Optimierung biologischer Prozesse abzielt. Diese Erkenntnisse dienen als Grundlage für eine individuelle Anleitung zur biologischen Gesundheit und Leistungsmaximierung. Ergebnisse der Bluttuningprofile kann somit einen bedeutenden Beitrag zur ganzheitlichen Gesundheit und Leistungsfähigkeit leisten.

Kann ich meine Versicherung nutzen?

Das SGK-Bluttuning ist eine Privatleistung und wird nicht von der Grundversicherung übernommen. Sie können die Rechnung bei Ihrer Zusatzversicherung einreichen – ob und in welchem Umfang eine Kostenbeteiligung erfolgt, hängt jedoch von Ihrer Versicherungspolice ab und kann nicht garantiert werden.

Zu den FAQs

Musterbefunde

Nachfolgend finden Sie Musterbefunde zweier Profile (PDF).
Der Bluttuning Vergleich enthält alle aktuellen Profile (PDF).

Anmeldung Bluttuning

Hiermit möchte ich mich für Bluttuning anmelden.

* Pflichtfelder

Was ist die Summe aus 9 und 7?

Das könnte Sie auch interessieren

Die Chelattherapie eignet sich je nach Zusammensetzung bei Durchblutungsstörungen wie auch bei der Ausleitung von Schwermetallen.

Natürlich gesund bleiben – mit Orthomolekularer Medizin. Ihr Körper benötigt die richtigen Nährstoffe, um optimal zu funktionieren. In unserer Klinik setzen wir auf Orthomolekulare Medizin, um gezielt Vitamine, Mineralstoffe und Spurenelemente zu ergänzen – individuell abgestimmt auf Ihre Bedürfnisse.

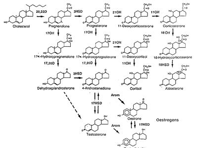
Unser Cortison wird in den Nebennieren (NN) produziert.

Durch extreme Steigerung der Konzentration und Dosis von Ozon erfolgt eine bisher noch erreichte Verbesserung des Therapieerfolgs.

Die Lipid Exchange Therapie wird für zwei Hauptindikationen eingesetzt

Durchblutungsstörungen

Entgiftung

Die wichtigsten Schritte in der Bildung viele unserer Hormone

Mit diesem einzigartigen Verfahren wird lebendiges Blut unter dem Mikroskop beobachtet.

Ein Teilbereich der regenerativen Medizin ist die Anwendung von PRP. Dieses Kürzel bezeichnet Plasma, also den flüssigen Anteil des Blutes, das mit Blutplättchen (Thrombozyten) konzentriert wurde.

Leiden Sie unter Müdigkeit, Erschöpfung oder Haarausfall? Unser Eisenzentrum in der Seegarten Klinik ist auf die Diagnose und Behandlung von Eisenmangel spezialisiert.

Haben auch schon von der Übersäuerung gehört? Dann ist es Zeit, diese Aussagen zu überdenken!

Ein "Wundermittel" bei Schmerzen durch leichte Abnützung wie Fingerarthrosen usw.

Immer häufiger können langanhaltende unerklärliche Symptome auf eine Histaminintoleranz zurückgeführt werden.

Es kann nicht genug betont werden, von welch grundlegender Bedeutung die Reinigung der Körpersäfte und Zellen für die Genesung und Gesundheit ist.

Worin leigt der Unterschied?

Ein verkannter Risikofaktor

„Der Körper lebt 24 Stunden von dem, was wir ihm zuführen, und dann soll Ernährung für die Gesundheit oder Krankheit keine Rolle spielen?"

Mit einer speziellen Vorrichtung kann der Darm von Kotresten gesäubert und die Flora optimiert werden.

Häufig gestellte Fragen (FAQ) zum Thema Bluttuning

Was ist Bluttuning?

Das SGK-Bluttuning ist ein modernes Konzept zur Optimierung Ihrer Gesundheit auf Basis umfassender Laboranalysen. Ziel ist es, nicht nur Mängel zu erkennen, sondern Ihre Blutwerte gezielt in einen optimalen Bereich zu bringen – für mehr Energie, Leistungsfähigkeit und langfristiges Wohlbefinden.

Zuletzt aktualisiert am 22.04.2025 von John van Limburg Stirum.

Wie ist der Ablauf eines Bluttuning-Programms?

Am Anfang steht ein persönliches Gespräch, in dem wir Ihre Beschwerden, Ihre Lebensweise und Ihre gesundheitlichen Ziele besprechen. Anschliessend kommen Sie nüchtern zur Blutentnahme in unsere Praxis. Etwa 10 Tage später erhalten Sie eine ausführliche Besprechung Ihrer Resultate – mit klaren Empfehlungen zur gezielten Optimierung Ihrer Blutwerte und Ihres Wohlbefindens.

Zuletzt aktualisiert am 22.09.2025 von John van Limburg Stirum.

Was erwartet mich bei der Erstberatung im Rahmen des Bluttunings?

In der Erstberatung nehmen wir uns Zeit für Sie. Wir besprechen ausführlich Ihre gesundheitliche Vorgeschichte – einschliesslich früherer Erkrankungen, Operationen, möglicher Narbenstörfelder und toxischer Belastungen. Auch Themen wie Zahngesundheit, Ernährung, Rauchen, Alkohol und Bewegung fliessen mit ein. So entsteht ein ganzheitliches Bild, das die Grundlage für Ihre individuelle Blutanalyse bildet.

Zuletzt aktualisiert am 22.09.2025 von Christian Röckl.

Wie werden die Bluttests durchgeführt?

Die Blutentnahme erfolgt ganz klassisch über eine Vene im Arm – schnell und nahezu schmerzfrei. Ein Teil der Analyse findet direkt im hauseigenen Labor der SGK statt, der andere Teil wird an ein zertifiziertes externes Labor in der Schweiz weitergeleitet. So stellen wir höchste Qualität und zuverlässige Ergebnisse sicher.

Zuletzt aktualisiert am 22.04.2025 von Christian Röckl.

Wie lange dauert es, bis meine Blutwerte vorliegen?

Ein Teil der Blutwerte liegt bereits am Tag der Entnahme vor, die restlichen Resultate erhalten wir in der Regel innerhalb einer Woche. Sobald alle Werte vollständig sind, besprechen wir sie mit Ihnen persönlich in einem ausführlichen Gespräch. Auf Wunsch können Sie die Ergebnisse auch vorab zugesendet bekommen.

Zuletzt aktualisiert am 22.09.2025 von Christian Röckl.

Muss ich mich auf die Bluttests vorbereiten?

Ja – bitte kommen Sie nüchtern zur Blutentnahme. Wasser oder ungesüsster Tee dürfen Sie trinken. Nahrungsergänzungsmittel sollten mindestens drei Tage vorher abgesetzt werden, damit die Ergebnisse nicht verfälscht werden. Medizinisch notwendige Medikamente nehmen Sie weiterhin ein – wir besprechen diese im Rahmen der Erstkonsultation.

Zuletzt aktualisiert am 22.04.2025 von Christian Röckl.

Wie oft sollte ich mein Blut tunen lassen?

Das hängt von Ihrem Alter, Ihrer Lebenssituation und den Ergebnissen der Analyse ab. Grundsätzlich empfehlen wir ein Bluttuning alle 2 bis 5 Jahre. Bei auffälligen Werten oder laufender Behandlung ist eine gezielte Nachkontrolle nach etwa 6 Monaten sinnvoll – um den Erfolg zu überprüfen und gegebenenfalls Anpassungen vorzunehmen.

Zuletzt aktualisiert am 22.04.2025 von Christian Röckl.

Welche gesundheitlichen Verbesserungen sind durch das Bluttuning möglich?

Das hängt ganz von Ihren individuellen Voraussetzungen ab. Wenn Beschwerden bestehen – etwa Müdigkeit, Konzentrationsprobleme oder Stimmungsschwankungen – kann eine gezielte Korrektur der Blutwerte zu spürbaren Verbesserungen führen. Viele berichten von mehr Energie, besserem Schlaf und einer stabileren Psyche.
Auch ohne akute Beschwerden ist das SGK-Bluttuning ein wertvoller Schritt in Richtung Optimal Health und Longevity – also nachhaltige Gesundheit und gesunde Lebensverlängerung.

Zuletzt aktualisiert am 22.09.2025 von Christian Röckl.

Was kostet die SGK-Bluttuning-Untersuchung?

Die SGK-Bluttuning-Untersuchung bieten wir in verschiedenen Varianten an – je nach Umfang und Tiefe der Analyse. Zur Auswahl stehen die Pakete Basic, Standard, Advance und Ultimate. Die Kosten liegen je nach Ausführung zwischen ca. CHF 900.– und CHF 3’000.–. Gerne beraten wir Sie persönlich, welches Paket am besten zu Ihren Zielen passt.

Zuletzt aktualisiert am 22.09.2025 von Christian Röckl.

Wie starte ich mit dem Bluttuning in der Seegarten Klinik?

Ganz einfach: Sie können sich direkt über unsere Homepage anmelden, uns anrufen oder uns eine E-Mail senden. Wir freuen uns darauf, Sie auf dem Weg zu mehr Gesundheit und Wohlbefinden zu begleiten.

Zuletzt aktualisiert am 22.09.2025 von Christian Röckl.

Seegarten Klinik AG - Copyright 2026. All Rights Reserved.

You are using an outdated browser. The website may not be displayed correctly. Close